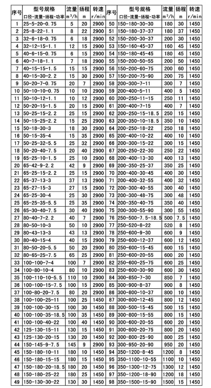
潜污泵型号及参数,WQ型潜水排污泵技术参数
一、QW-WQ型无堵塞潜污泵概述:
QW型无堵塞潜污泵设计合理,配套电机合理,效率高,节能效果显着,是引进国外节能无堵塞排污泵先进经验,结合本单位技术力量研制而成,各项性能指标均达到国家标准同类产品水平。由于采用独特的单通道叶轮、动密封采用两组特殊材料的硬质合金机械密封装置。电机用油室隔开,具有无堵塞、率、节能显着,是我国泵类更新换代的新产品,深受用户欢迎和好评。

带漏水漏电保护无堵塞潜水排污泵采用大流道抗堵塞水力部件设计,大大提高污物通过能力,能有效地通过泵口径的5倍纤维物质和直径为泵口径约50的固体颗粒。机械密封采用双道串联密封,材质为硬质耐磨碳化钨,具有耐用、耐磨等特点,可以使泵安全连续运行800小时以上。泵结构紧凑,体积小,移动方便,安装简便,无需建泵房,潜入水中即可工作,大大减小工程造价。
二、WQ型无堵塞潜污泵用途及适用范围:
QW型潜水排污泵适用于工厂商业严重污染废水的排放、住宅区的污水排污站、城市污水处理厂排水系统、人防系统排水站、自来水厂的结水装置,医院、宾馆的污水排放、市政工程建筑工地、勘探、矿山配套附机、农村沼气池、农田灌溉等行业,输送带颗粒的污水、污物,也可用于清水及带腐蚀性介质。
带漏水漏电保护无堵塞潜水排污泵适用于化工、石油、制药、采矿、造纸工业、水泥厂、炼钢厂、电厂、煤加工工业,以及城市污水处理厂排水系统、市政工程、建筑工地等行业输送带颗粒的污水、污物,也可用于抽送清水及带腐蚀性介质。
三、WQ型无堵塞潜污泵无堵塞潜水排污泵使用条件:
1、潜水无堵塞排污泵的介质温度不超过60,介质重度为11.3kg/dm3。
2、无内自流循环冷却系统的泵,电机部分露出液面不超过1/2。
3、无堵塞排污泵的铸铁材质的使用范围为PH59。
4、1Cr18Ni9Ti不锈钢材质可使用各种腐蚀性介质。
注:用户如有特殊的温度、介质等要求,请在订货时注明输送介质的详细情况,以便本单位提供更为可靠之产品。
四、QW型无堵塞潜污泵特点:
采用独特的单叶片或双叶片叶轮结构,大大提高了污物通过能力,能有效的通过泵口径的5倍纤维物质与直径为泵口径约50的固体颗粒。
机械密封采用新型硬质耐腐的碳化钨材料,同时将密封改进为双端面密封,使其长期处于油室内运行,可使泵安全连续运行8000小时以上。
整体结构紧凑、体积小、噪声小、节能效果显着,检修方便,无需建泵房,潜入水中即可工作,大大减少工程造价。
带漏水漏电保护无堵塞潜水排污泵密封油室内设置有高精度抗干扰漏水检测传感器,及定子绕组内预埋了热敏元件,对水泵电机保护。
可根据用户需要配备全自动安全保护控制柜,对泵的漏水、漏电、过载及超温等进行保护,提高了产品的安全性与可靠性。
浮球开关可以根据所需液位变化,自动控制泵的起动与停止,不需专人看管,使用极为方便。
可根据用户需要配备双导轨自动耦合安装系统,它给安装、维修带来极大方便,人可不必为此而进入污水坑。
能够在全扬程范围内使用,而保证电机不会过载。
有两种不同的安装方式,固定式自动耦合安装系统,移动式自由安装系统。浙江扬子江泵业有限公司
了解详情,请留下您的联系方式我们24小时内与您联系,创业有风险,投资需谨慎! 欢迎关注我们微信公众号:QQ346363458